
Pernah nggak sih, niat merantau ke Semarang buat kuliah di Undip, tapi langsung mikir, “Duitnya cukup nggak ya?” Nih fakta sedikit nyentil: UKT di PTN bisa beda jutaan rupiah cuma karena jalur masuk. Kebayang nggak kalau udah keterima, tapi malah kaget sama nominalnya? Nah, di sinilah cerita Biaya Kuliah Undip 2026 Terbaru mulai relevan banget buat lo.
Apalagi buat lo yang lagi duduk di kelas 12, atau ortu yang diem-diem buka tabungan sambil ngelus dada. Topik ini bukan sekadar angka, tapi soal strategi biar kuliah tetap jalan tanpa drama finansial.
Apa Sih yang Dimaksud Biaya Kuliah Undip 2026?
Singkatnya gini: biaya kuliah di Undip itu mayoritas pakai sistem UKT alias Uang Kuliah Tunggal. Jadi lo nggak bayar per SKS, tapi satu angka tetap tiap semester. Angka ini dibagi ke beberapa kelompok, tergantung kondisi ekonomi.
Selain UKT, ada juga jalur masuk yang ngaruh ke biaya. SNBP, SNBT, sampai jalur Mandiri punya ketentuan sendiri. Nah, Biaya Kuliah Undip 2026 Terbaru ini penting buat dipahami dari awal, biar nggak zonk belakangan.
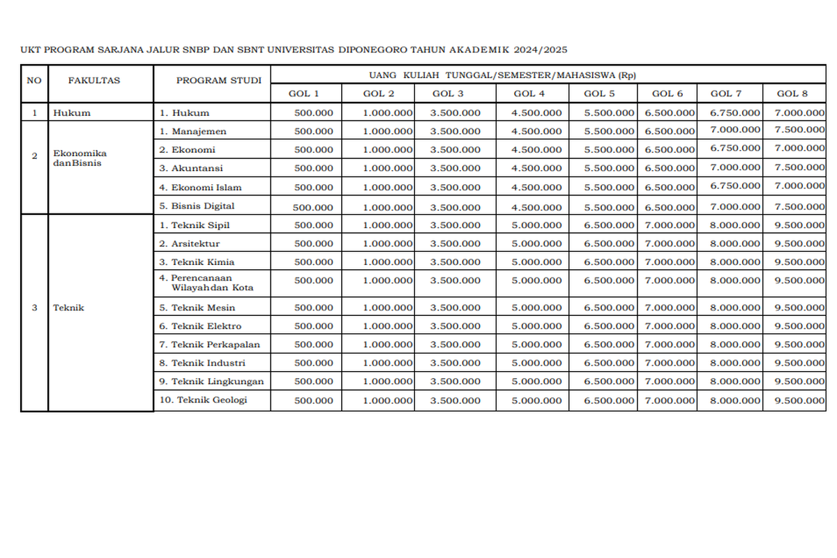
Rincian UKT Undip 2026 Berdasarkan Kelompok
UKT Undip: Dari Paling Rendah Sampai “Nyesek”
UKT di Undip biasanya dibagi ke 8 kelompok. Kelompok 1 dan 2 itu yang paling ramah kantong, bahkan ada yang di bawah Rp1 juta per semester. Tapi makin ke atas, angkanya bisa naik sampai belasan juta, tergantung jurusan.
Misalnya, mahasiswa Teknik Sipil atau Kedokteran biasanya ada di range UKT yang lebih tinggi. Ibarat beli kopi, ada yang cukup es kopi abang-abang, ada juga yang level manual brew kafe estetik.
Contoh real-life-nya gini: Andi, anak SMA di Solo, keterima Undip lewat SNBP dan dapet UKT Kelompok 3 sekitar Rp2,5 juta. Sementara temannya, Bima, masuk jalur Mandiri di jurusan sama, UKT-nya bisa dua kali lipat. Kok beda? Nah, itu karena sistem penilaian ekonomi.
Jalur Masuk Undip 2026 dan Pengaruhnya ke Biaya
SNBP, SNBT, dan Mandiri: Pilih yang Cocok Sama Kondisi
Setiap jalur masuk punya “rasa” sendiri. SNBP itu biasanya jadi incaran karena peluang dapet UKT rendah lebih besar. Data ekonomi lo dinilai dari awal, jadi transparansi itu game changer.
SNBT juga masih pakai sistem UKT yang sama, tapi persaingannya beda. Nah, jalur Mandiri biasanya identik sama biaya lebih tinggi. Bukan nakut-nakutin, tapi realistis aja.

Bayangin lo lagi milih motor. Ada yang irit bensin, ada yang tenaganya gede tapi boros. Jalur masuk juga kayak gitu. Nggak ada yang jelek, tapi perlu disesuaikan sama kondisi.
Biar lebih detail soal jalur dan UKT tahun-tahun sebelumnya, lo bisa cek juga pembahasan di biayakuliah.id tentang biaya kuliah Undip.
Biaya Lain Selain UKT yang Sering Lupa Dihitung
Jangan Lupa Biaya Hidup dan Keperluan Awal
UKT doang nggak cukup buat kasih gambaran total biaya. Ada kos, makan, transport, sampai print tugas yang tiba-tiba numpuk pas UTS.
Contoh nyata: Rina, mahasiswa tahun pertama, awalnya fokus ke UKT Rp3 jutaan. Tapi pas dihitung-hitung, biaya kos + makan tembus Rp1,5 juta per bulan. Kaget? Normal kok, banyak yang ngalamin.
Makanya, Biaya Kuliah Undip 2026 Terbaru itu perlu dilihat sebagai paket lengkap, bukan angka tunggal. Kayak beli HP, aksesorinya juga perlu, kan?
Tips Strategis Biar Biaya Kuliah Undip Lebih Aman
Langkah Praktis yang Bisa Langsung Lo Terapkan
- Isi data ekonomi dengan jujur – ngarang dikit bisa bikin UKT malah naik, serius.
- Bidik jalur SNBP kalau bisa – peluang UKT rendah biasanya lebih besar.
- Siapin dokumen dari jauh hari – slip gaji, KK, PBB, cuma kelihatan sepele.
- Hitung biaya hidup dari sekarang – jangan nunggu jadi mahasiswa baru panik.
- Cari info beasiswa aktif – Undip punya banyak opsi, tinggal rajin update.
Buat referensi beasiswa dan UKT kampus lain, lo bisa mampir ke panduan UKT di biayakuliah.id.
Kesalahan Umum yang Sering Terjadi
Jangan Sampai Kejebak di Lubang yang Sama
Banyak calon mahasiswa mikir, “Ah, UKT nanti bisa turun.” Padahal, proses penyesuaian UKT itu nggak selalu gampang. Ada syarat, ada waktu, dan nggak selalu disetujui.
Kesalahan lain adalah fokus ke jurusan favorit tanpa mikirin biaya. Nggak salah punya mimpi tinggi, tapi landasannya perlu realistis. Mimpi tanpa rencana itu kayak motor tanpa bensin, niat doang.
Info resmi Undip soal UKT dan jalur masuk bisa dicek langsung di situs Universitas Diponegoro biar nggak salah info.
Penutup: Biar Nggak Kaget, Mulai dari Info yang Benar
Ngomongin Biaya Kuliah Undip 2026 Terbaru itu bukan buat nakut-nakutin, tapi justru biar lo lebih siap. Dengan ngerti UKT, jalur masuk, dan biaya lain sejak awal, langkah ke dunia kampus jadi lebih pede.
Kalau lo masih bingung atau pengin bandingin sama kampus lain, santai aja. Jalan masih panjang. Yuk, lanjut eksplor info biaya kuliah lain yang relevan, siapa tahu itu jadi titik balik keputusan besar lo.